• Предмет: Математика
  • Автор: Аноним
  • Вопрос задан 2 года назад

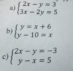
Помогите даю 15 баллов​

Приложения:

Ответы

Ответ дал: evaStudy
2
Решение на фотографии
Приложения:
Вас заинтересует