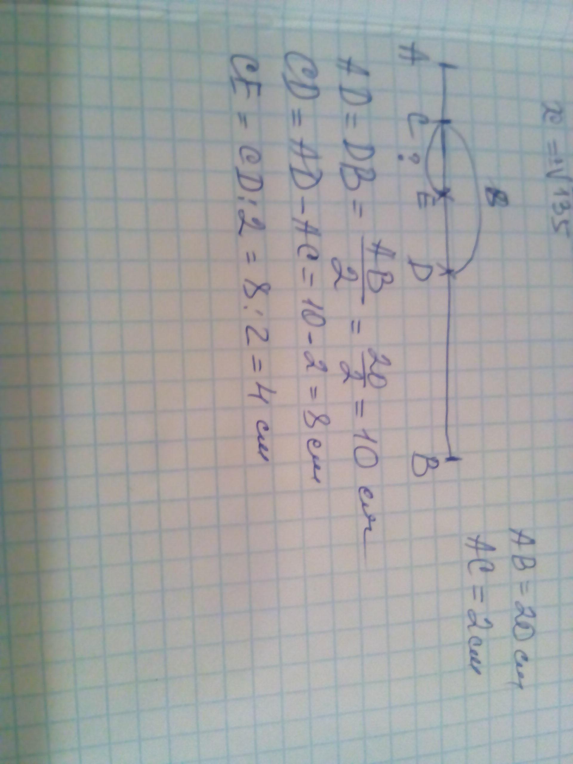
На відрізку АВ довжиною 20 см позначено точки С, D, E так, що АС =2см, AD=DB і СЕ=ED. Чому дорівнює довжина відрізка ED?
Ответы
Ответ дал:
3
Ответ: 4см
Пошаговое объяснение:
Приложения:

Вас заинтересует
1 год назад
1 год назад
1 год назад
1 год назад
3 года назад
3 года назад
8 лет назад
8 лет назад