• Предмет: Математика
  • Автор: Innak1225
  • Вопрос задан 2 года назад

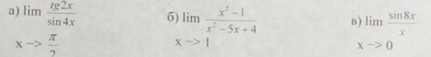
Помоги решить. Найти предел функции

Приложения:

Ответы

Ответ дал: sergeevaolga5
1

\lim_{x \to \frac{\pi }{2}}\frac{tg2x}{sin4x}=\lim_{x \to \frac{\pi }{2}}\frac{\frac{sin2x}{cos2x}}{2sin2x*cos2x}=\lim_{x \to \frac{\pi }{2}}\frac{sin2x}{2xin2x*cos^22x}=\\\\=\lim_{x \to \frac{\pi }{2}}\frac{1}{2cos^22x}=\frac{1}{2cos^2(2*\frac{\pi}{2})} =\frac{1}{2cos^2\pi}=\frac{1}{2*(-1)^2}=\frac{1}{2}

\lim_{x \to1}\frac{x^2-1}{x^2-5x+4}=\lim_{x \to1} \frac{(x-1)(x+1)}{(x-1)(x-4)}=\lim_{x \to1}\frac{x+1}{x-4}=\frac{1+1}{1-4}=-\frac{2}{3}

\lim_{x \to0}\frac{sin8x}{x}=\lim_{x \to0}\frac{sin8x*8}{8x}=0*8=0

Вас заинтересует