Ответы
Ответ дал:
1
Решение во вложении
Приложения:


Vacban541:
А другой?
Ответ дал:
1
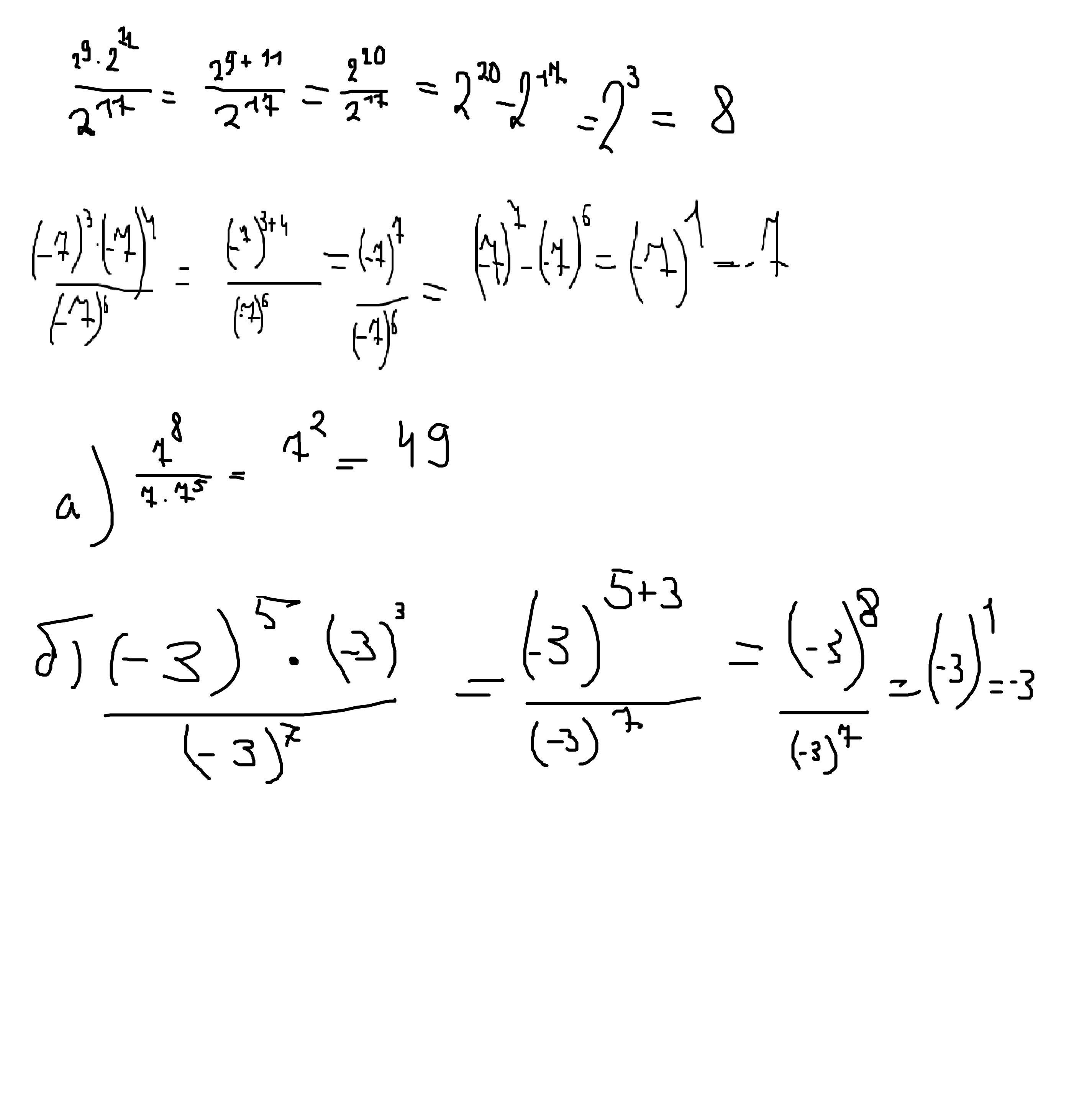
Ответ:
1 фото: а) 8, б) -7
2 фото: а) 49 б) -3
Приложения:

Вас заинтересует
1 год назад
1 год назад
1 год назад
1 год назад
3 года назад
8 лет назад