Пожалуйста!Прошу вас быстрее.Перенести выражение в Pascal
Приложения:

AHTOH4Nk:
Попробую написать через минут 20-30.
Ответы
Ответ дал:
1
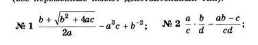
№1
Program anton4nk;
uses crt;
var a,b,c:real;
begin
clrscr;
writeln(' Введите в последовательности A, B, C');
readln(a,b,c);
writeln(b+sqrt(sqr(b)+4*a*c)/2*a);
end.
______________________________________
№2
Program anton4nk;
uses crt;
var a,b,c,d:real;
begin
clrscr;
writeln('Введите в последовательности A, B, C, D');
readln(a,b,c,d);
writeln((a/c)*(b/d)-(a*b-c)/(c*d));
end.
______________________________________
Вас заинтересует
1 год назад
1 год назад
1 год назад
3 года назад
3 года назад
8 лет назад