• Предмет: Алгебра
  • Автор: Парвиз4
  • Вопрос задан 2 года назад

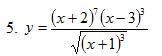
Найдите производную данной функции

Приложения:

Ответы

Ответ дал: irinafabrickaa5
0

Ответ:

3x-y

Объяснение:

это элементарное

Вас заинтересует