• Предмет: Информатика
  • Автор: yuliatemi57
  • Вопрос задан 2 года назад

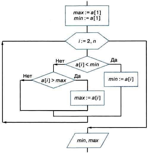
1) На блок-схеме представлен алгоритм одновременного поиска максимального и минимального значений элементов массива:
Реализуйте этот алгоритм на языке программирования и выполните программу для массива из следующего задания.
2)Имеется одномерный целочисленный массив из семи элементов:
Каким будет результат преобразования массива по следующему алгоритму?
for i:=k+1 to n do
a[i-1]:=a[i];

Приложения:

Ответы

Ответ дал: FRBI
9

1)

var max, min, i, n : integer;

a : array [1..255] of integer;

BEGIN

// ввод массива

read(n);

for i := 1 to n do

 read(a[i]);

 

// то, что в блок-схеме

max := a[1]; min := a[1];

for i := 2 to n do begin

 if a[i] < min then

  min := a[i]

 else if a[i] > max then

  max := a[i];

end;

write(min, ' ', max);

END.

2) Если k - это любое число >= 1, то значения элементов массива сдвинутся на 1 влево. К примеру, если k = 1, то a[1] = 12, a[2] = 5, a[3] = 8 и так далее

Вас заинтересует