• Предмет: Геометрия
  • Автор: Anime240107
  • Вопрос задан 2 года назад

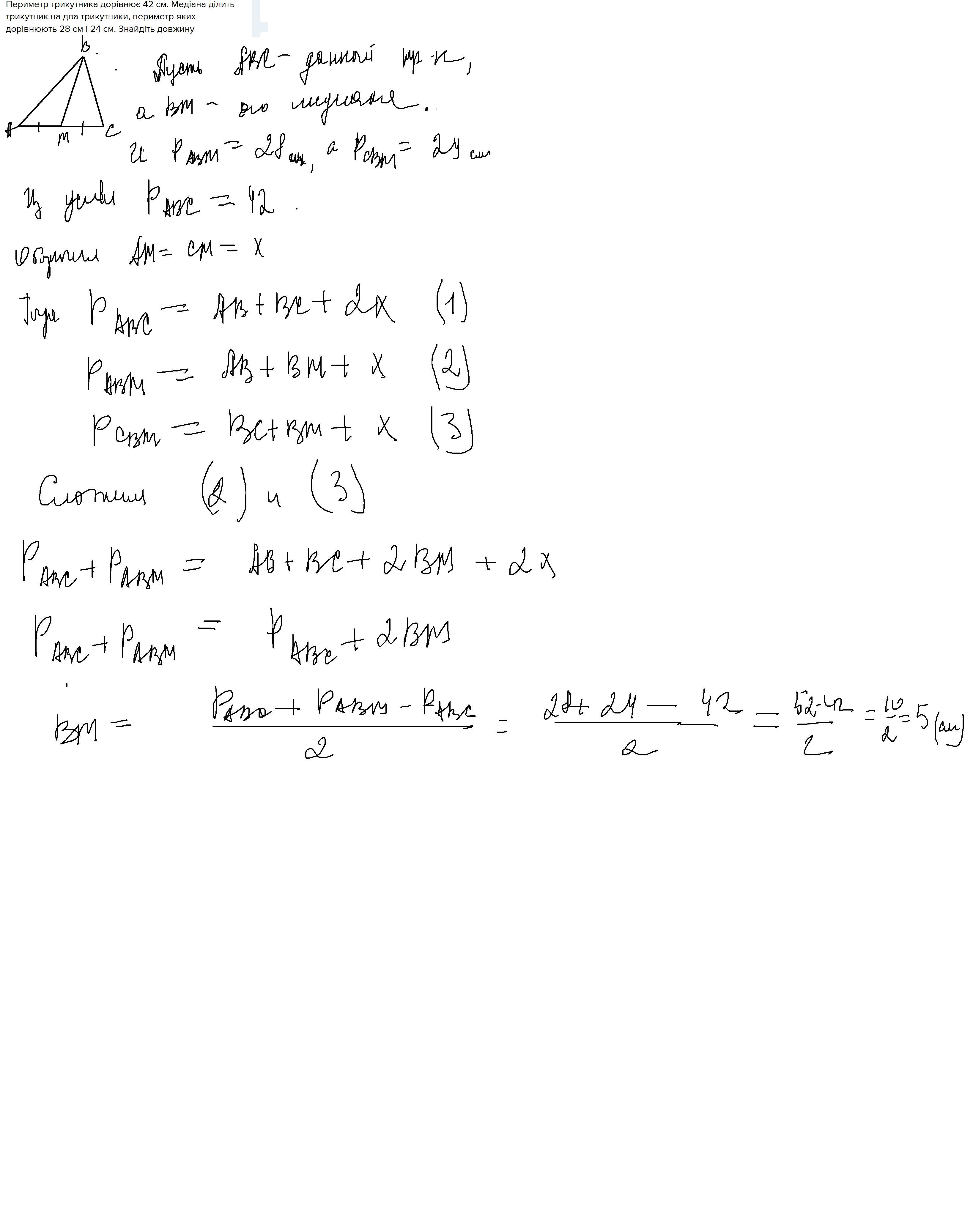
Периметр трикутника дорівнює 42 см. Медіана ділить трикутник на два трикутники, периметр яких дорівнюють 28 см і 24 см. Знайдіть довжину медіани.Но как понять ответ?

Ответы

Ответ дал: vikll
0

Ответ:

Объяснение:Периметр трикутника дорівнює 42 см.

Приложения:
Вас заинтересует