• Предмет: Алгебра
  • Автор: ekaterinabanni
  • Вопрос задан 2 года назад

Сроочноо, вычислить предел функции, подробно​

Приложения:

Ответы

Ответ дал: igundane
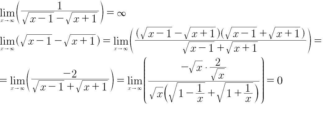
1

/////////////////////////////////////////////

Приложения:
Вас заинтересует