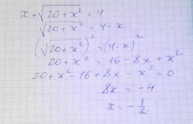
Решите иррациональное уравнение
Приложения:

Аноним:
помогуеслисмогу найдименявк/rusakovwn
Ответы
Ответ дал:
1
= решение = решение = решение = решение = решение =
Приложения:

Вас заинтересует
1 год назад
1 год назад
1 год назад
3 года назад