• Предмет: Геометрия
  • Автор: Вадим5121
  • Вопрос задан 2 года назад

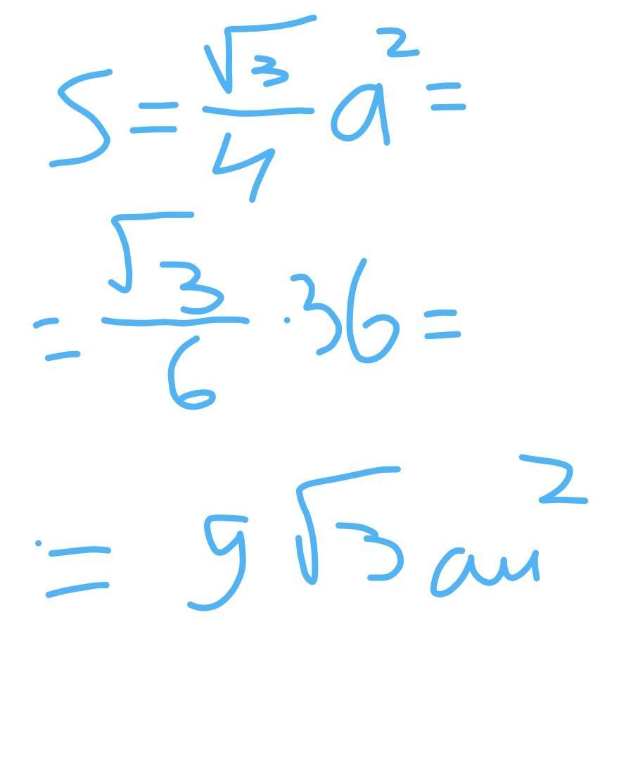
50б.Чему равна площадь равностороннего треугольника со стороной 6 см?


Вадим5121: По подробнее, с дано и решением

Ответы

Ответ дал: sadflower090
1
1/2*6*6=18 см^2 площадь

Вадим5121: А дано и решение можно?
Ответ дал: Beethoveen
0

Ответ:

Формула площади правильного треугольника через длину стороны:

Приложения:
Вас заинтересует