• Предмет: Алгебра
  • Автор: Аноним
  • Вопрос задан 2 года назад

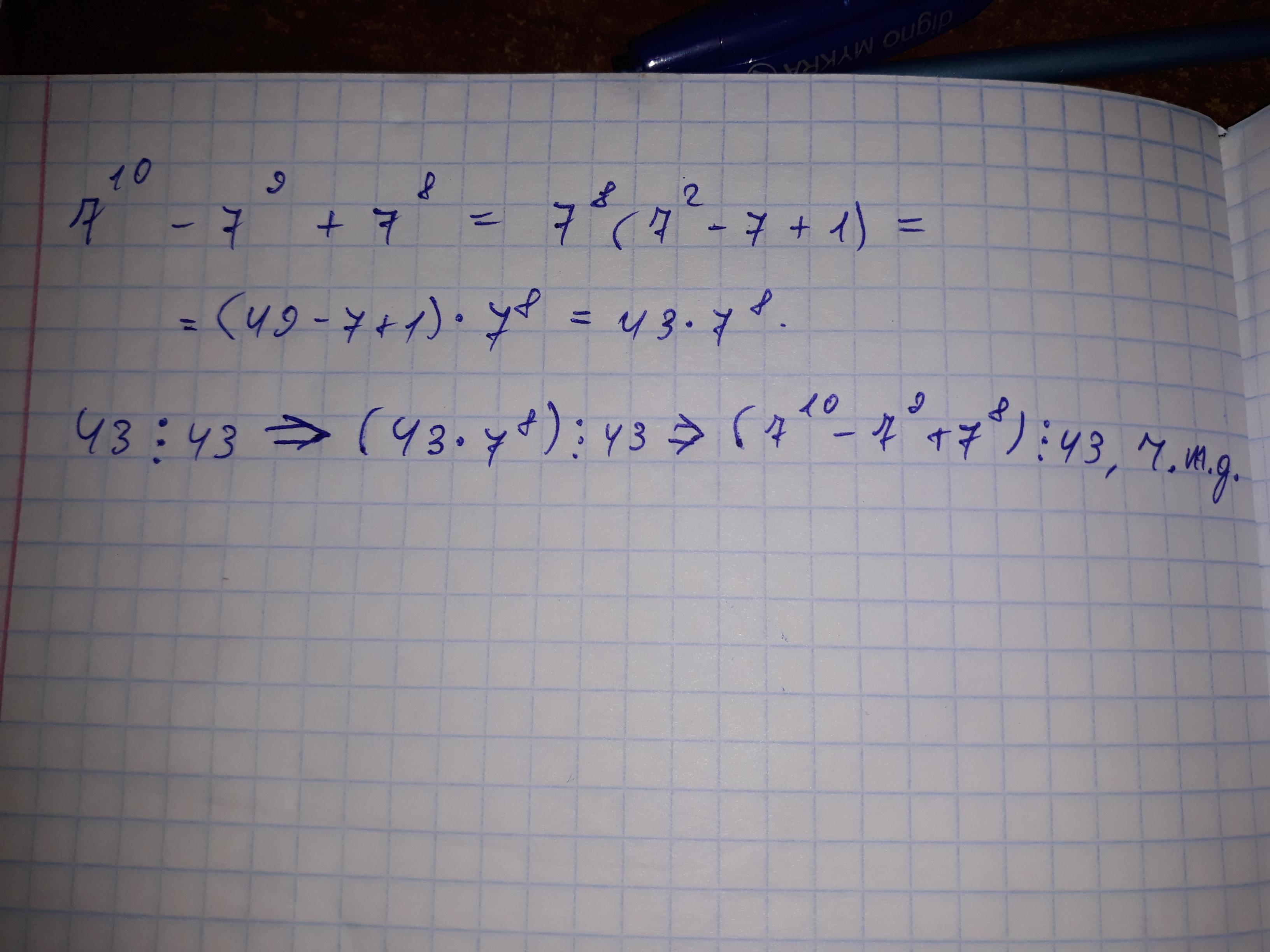
Доведеть, що число
7 ^{10} - 7^{9} + 7 ^{8}7
10
−7
9
+7
8

ділиться на 43

Ответы

Ответ дал: Medved23
0

Объяснение: во вложении.

(3 точки - знак делимости).

Приложения:
Вас заинтересует