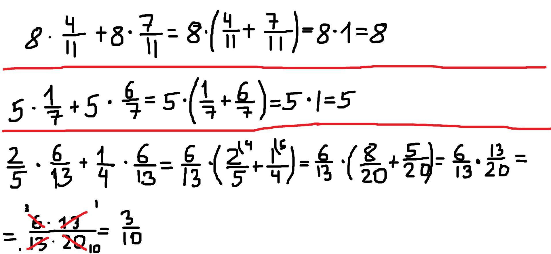
1. 8×4/11+8×7/11
2. 5×1/7+5×6/7
3. 2/5×6/13+1/4×6/13
4. 5/8×5/6-1/4×5/6
5.3/5-3/5×2/7
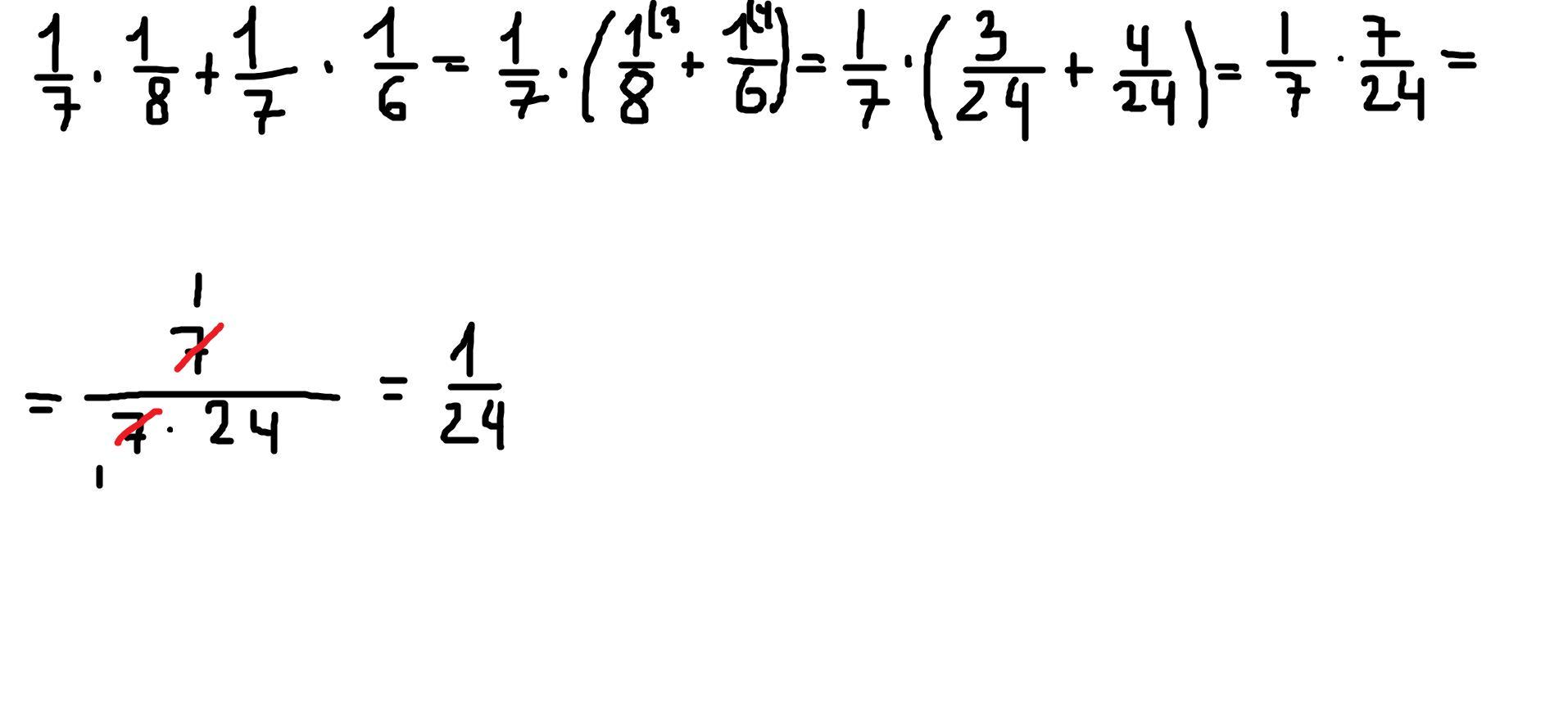
6. 1/7×1/8+1/7×1/6
ivanovicbarbos51:
/ это деление?
Ответы
Ответ дал:
2
Ответ: ↓↓
1. 8×4/11+8×7/11=8
2. 5×1/7+5×6/7 =5
3. 2/5×6/13+1/4×6/13 =3/10
4. 5/8×5/6-1/4×5/6 =5/16
5. 3/5-3/5×2/7 =1/7
6. 1/7×1/8+1/7×1/6=1/24
Пошаговое объяснение: удачи!
Приложения:



Вас заинтересует
1 год назад
1 год назад
3 года назад
8 лет назад