Ответы
Ответ дал:
1
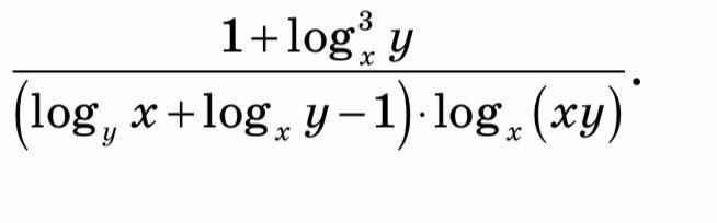
Ответ: во вложении Объяснение:
Приложения:

bravesmile777p67aer:
Спасибо <3
Ответ дал:
0
Вас заинтересует
1 год назад
1 год назад
3 года назад
3 года назад
8 лет назад