Срочно!!!
Упростите и найдите значение выражения:
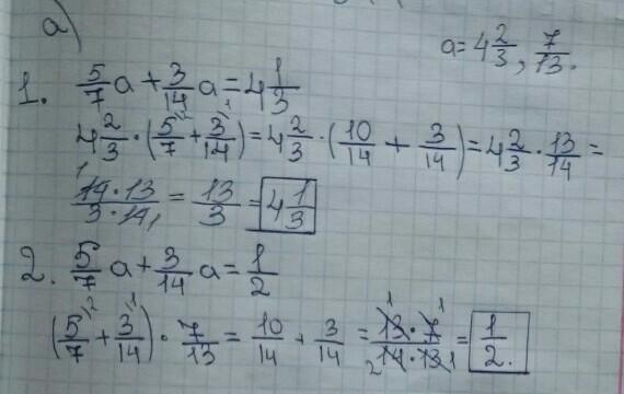
3/8y + y - 1/4y. y=2целых 2/3
y=4/9
Пожалуйста с объяснением всех действий.
И что бы решение было примерно как на фото, спасибо)
Приложения:

Ответы
Ответ дал:
1
(3/8)у+(8/8)у-(2/8)у=(9/8)у,
у=2_2/3=8/3, (9/8)*(8/3)=3 -ответ
у=4/9, (9/8)*4/9=1/2 -ответ
Ответ дал:
1
Ответ:
3/8y+y-1/4y=3/8y+y-2/8y=1 1/8y=9/8y
9/8y при y=2 2/3 получается:
9/8*2 2/3=9/8*8/3=9/3=3
9/8 при y=4/9 получается:
9/8*4/9=4/8=1/2=0.5
Пошаговое объяснение:
Вас заинтересует
1 год назад
1 год назад
1 год назад
1 год назад
3 года назад
3 года назад
8 лет назад