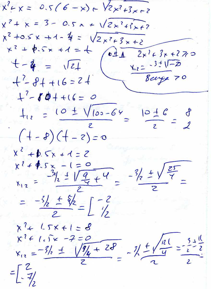
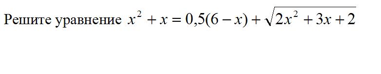
Помогите решить уравнение:
Сижу,вот думаю и не получается..Буду непременно благодарен!
Приложения:
Ответы
Ответ дал:
0
посмотрите в приложении
Приложения:
Вас заинтересует
3 года назад
3 года назад
8 лет назад
8 лет назад
11 лет назад
11 лет назад
11 лет назад