• Предмет: Математика
  • Автор: ucjfjfjfjfu
  • Вопрос задан 2 года назад

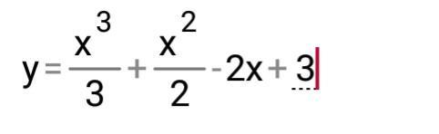
Найдите производную функцию (в конце штрих)

Приложения:

Ответы

Ответ дал: Dedagenn
0

Ответ:

у'=3х²/3+2х/2-2+0= х²+х-2 -ответ

Вас заинтересует