• Предмет: Математика
  • Автор: vre2002
  • Вопрос задан 2 года назад

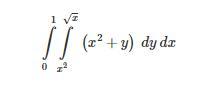
помогите решить двойной интеграл

Приложения:

Ответы

Ответ дал: Beafester
0

Ответ:

внутренный интеграл берется, считая, что х - константа, а у - переменная, дальше, думаю, все понятно

Приложения:
Вас заинтересует