• Предмет: Математика
  • Автор: kuschinskaya
  • Вопрос задан 2 года назад

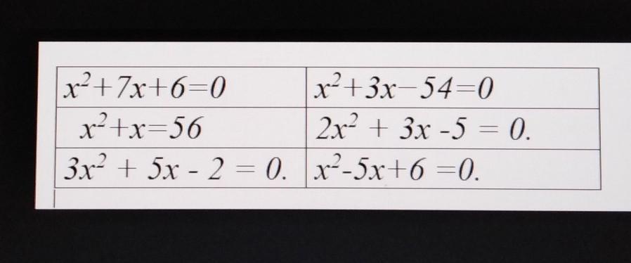
найдите дискриминант каждого примера, желательно с пошаговым объяснением​

Приложения:

Ответы

Ответ дал: alina33138
0

Дискриминант находится по формуле

d =  {b}^{2}  - 4ac

где а-число без иксов, б-число перед х, с-число перед х^2

1)

 {x}^{2}  + 7x + 6 = 0 \\ d =  {7}^{2}  - 4 \times 1 \times 6 = 49 - 24 = 25

2)

 {x}^{2}  + x = 56 \\  {x }^{2}  + x - 56 = 0 \\ d =  {1}^{2}  - 4 \times 1 \times ( - 56) = 1 + 224 = 225

3)

3 {x}^{2}  + 5x - 2 = 0 \\ d =  {5}^{2}  - 4 \times 3 \times ( - 2) = 25 + 24 = 49

4)

 {x}^{2}  + 3x - 54 = 0 \\ d =  {3}^{2}  - 4 \times 1 \times ( - 54) = 9 + 216 = 225

5)

2 {x}^{2}  + 3x - 5 = 0 \\ d =  {3}^{2}  - 4 \times 2 \times ( - 5) = 9 + 40 = 49

6)

 {x}^{2}  - 5x + 6 = 0 \\ d =   {( - 5)}^{2}  - 4 \times 1 \times 6 = 25 - 24 = 1

Вас заинтересует