• Предмет: Алгебра
  • Автор: Аноним
  • Вопрос задан 2 года назад

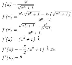
Найдите f″(0) , если f(x)=x/корень х^2+1

Ответы

Ответ дал: igundane
1

////////////////////////////////////////

Приложения:
Вас заинтересует