Ответы
Ответ дал:
0
Ответ дал:
0
Ответ:
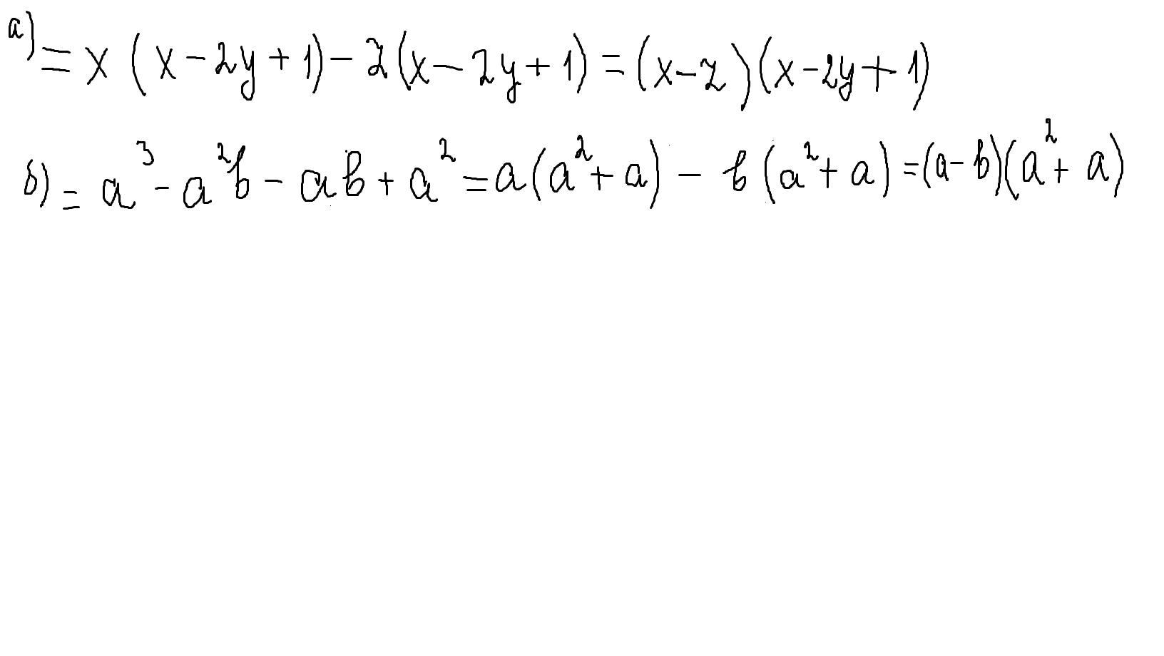
решение смотри внизу
Объяснение:
Приложения:

Вас заинтересует
1 год назад
1 год назад
1 год назад
8 лет назад