• Предмет: Математика
  • Автор: Аноним
  • Вопрос задан 2 года назад

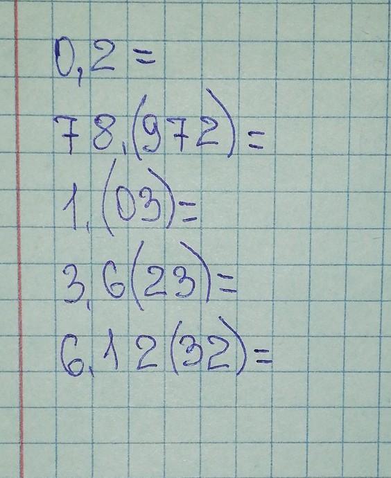
ПОМОГИТЕ ПОЖАЛУЙСТА!!! ПЕРЕВЕСТИ В ОБЫКНОВЕННЫЕ ДРОБИ! ​

Приложения:

Ответы

Ответ дал: danielnofal187
1

Ответ:

0,2=2/10

78,972=72 972/1000

1,03=1 3/100

3,623=3 623/1000

6,1232=6 1232/10000

Ответ дал: ovchinkinadp54ob9
0

Ответ:

Пошаговое объяснение:

0,2 =2/10=1/5

78,(972)=78 972/1000 = 78972/1000=19743/250 = 78 243/250

1,(03)=1 3/100 =103/100

3,6(23) = 3 623/1000

6,12(32) = 6 1232/10000 = 61232/10000 = 3827/625 = 6 77/625

Вас заинтересует