Ответы
Ответ дал:
1
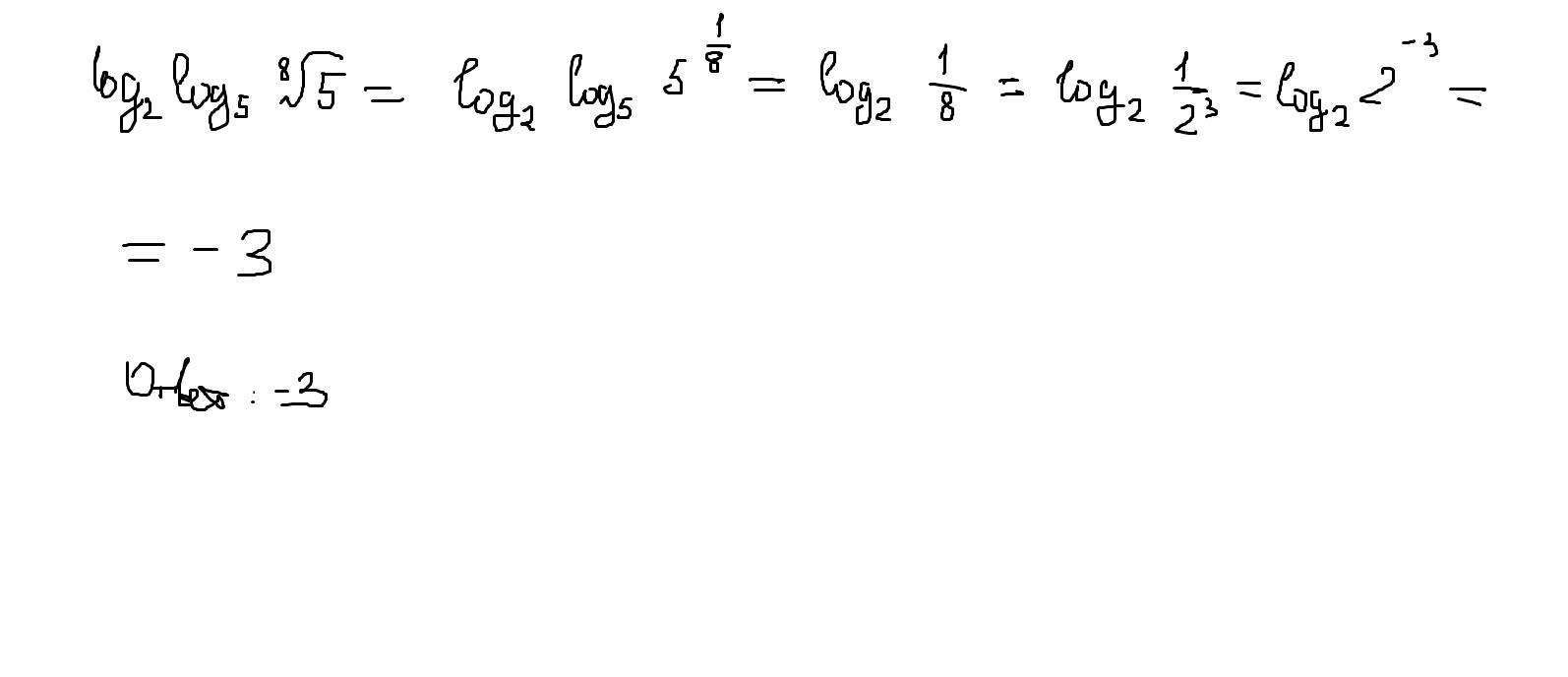
Ответ: - 3
Объяснение:
Прости за подчерк
Приложения:

Ответ дал:
1
Ответ:
-3
Объяснение:
log2 log5
log2 log5
log2 1/8log5 5
log2 1/8
log2
-3
Вас заинтересует
1 год назад
1 год назад
1 год назад
1 год назад
3 года назад
3 года назад