• Предмет: Математика
  • Автор: Sana0005
  • Вопрос задан 2 года назад

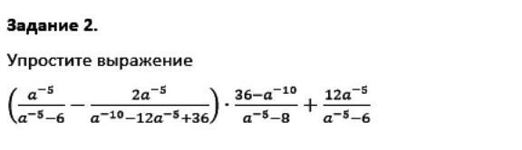
Упростите выражение...

Приложения:

Ответы

Ответ дал: Аноним
2

Ответ:

-1/a⁵

Пошаговое объяснение:

(a⁻⁵/(a⁻⁵-6) -(2a⁻⁵)/(a⁻¹⁰-12a⁻⁵+36))·(36-a⁻¹⁰)/(a⁻⁵-8) +(12a⁻⁵)/(a⁻⁵-6)=(a⁻⁵/(a⁻⁵-6) -(2a⁻⁵)/(a⁻⁵-6)²)·((6-a⁻⁵)(6+a⁻⁵))/(a⁻⁵-8) +(12a⁻⁵)/(a⁻⁵-6)=(a⁻⁵·(a⁻⁵-6)-2a⁻⁵)/(a⁻⁵-6)²·((a⁻⁵-6)(6+a⁻⁵))/(8-a⁻⁵) +(12a⁻⁵)/(a⁻⁵-6)=((a⁻¹⁰-6a⁻⁵-2a⁻⁵)(6+a⁻⁵))/((a⁻⁵-6)(8-a⁻⁵)) +(12a⁻⁵)/(a⁻⁵-6)=(a⁻⁵(a⁻⁵-8)(6+a⁻⁵))/((6-a⁻⁵)(a⁻⁵-8)) -(12a⁻⁵)/(6-a⁻⁵)=(6a⁻⁵+a⁻¹⁰)/(6-a⁻⁵) -(12a⁻⁵)/(6-a⁻⁵)=(6a⁻⁵+a⁻¹⁰-12a⁻⁵)/(6-a⁻⁵)=(a⁻¹⁰-6a⁻⁵)/(6-a⁻⁵)=(-a⁻⁵·(a⁻⁵-6))/(a⁻⁵-6)=-a⁻⁵=-1/a⁵

Вас заинтересует