• Предмет: Алгебра
  • Автор: markus989
  • Вопрос задан 2 года назад

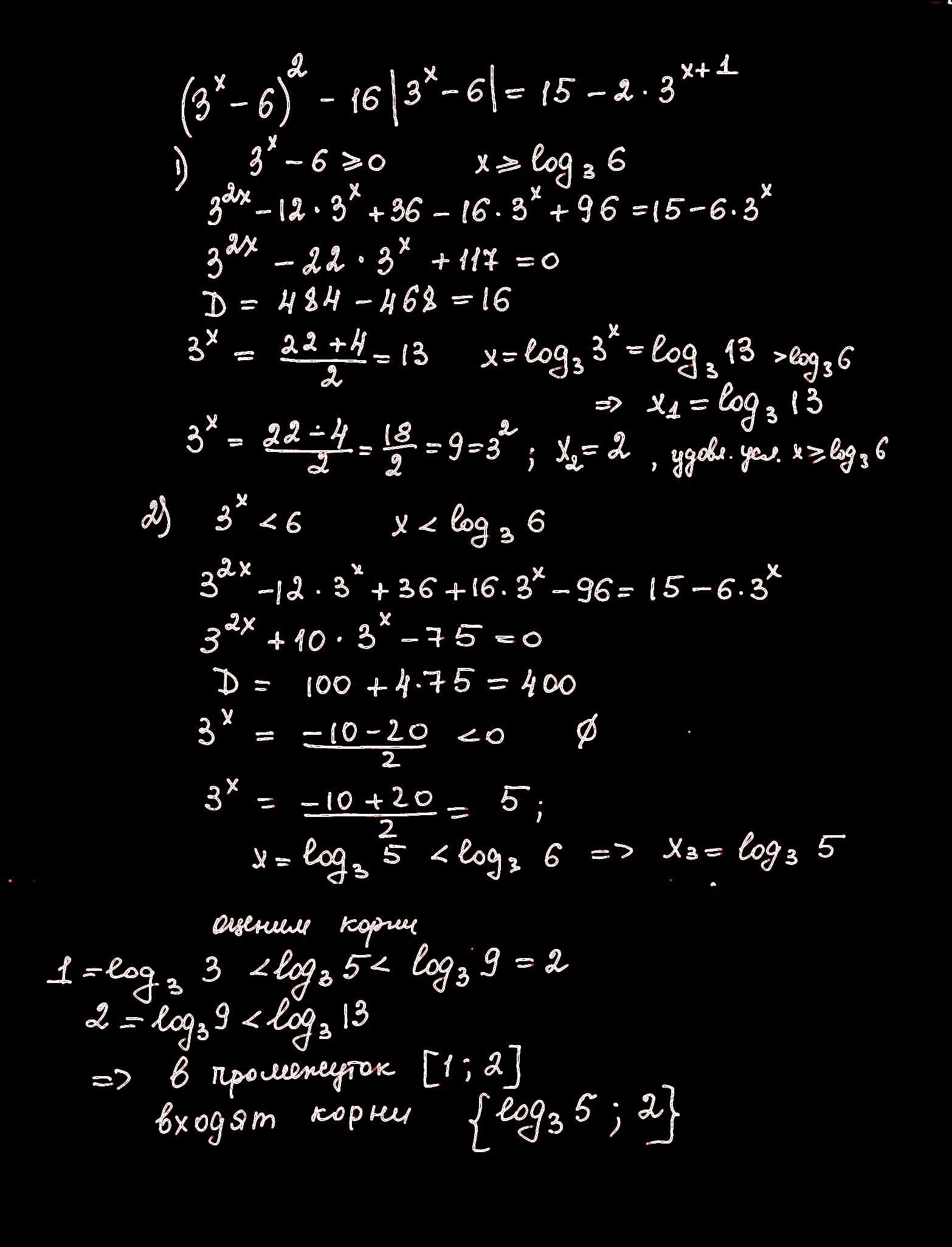
Решите уравнение (13 задание профиль)

Приложения:

Ответы

Ответ дал: Аноним
3

Ответ:

Объяснение:

---------------------------------------------

Приложения:
Вас заинтересует