• Предмет: Алгебра
  • Автор: гуфик124
  • Вопрос задан 2 года назад

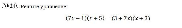
Решите уравнение, пожалуйста!!!

Приложения:

Ответы

Ответ дал: anastasiamosru
0

(7x-1)(x+5)=(3+7x)(x+3) =

7x²+35x-x-5=3x+9+7x²+21x =

(сокращаются 7x²)

= 34x-5=24x+9 =

10x= 14 =

X=1,4

Вас заинтересует