• Предмет: Алгебра
  • Автор: yesayes
  • Вопрос задан 2 года назад

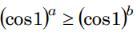
Сравните a и b, если:

Приложения:

Ответы

Ответ дал: denbingon
2

Ответ:

a ≤ b

Объяснение:

cos1 = 1/2 (примерно)

по свойству показательных неравенств имеем

(cos1)^{a}(cos1)^{b}  ⇒ a ≤ b


yesayes: я правда уже сам догнал, пока ответ ждал
Вас заинтересует