Ответы
Ответ дал:
1
Ничего особенного нет. Нужно знать интегрирование и формулы ,а дальше просто сидеть и вычислять
Есть хороший сайт где даны эти формулы и разобраны пару примеров
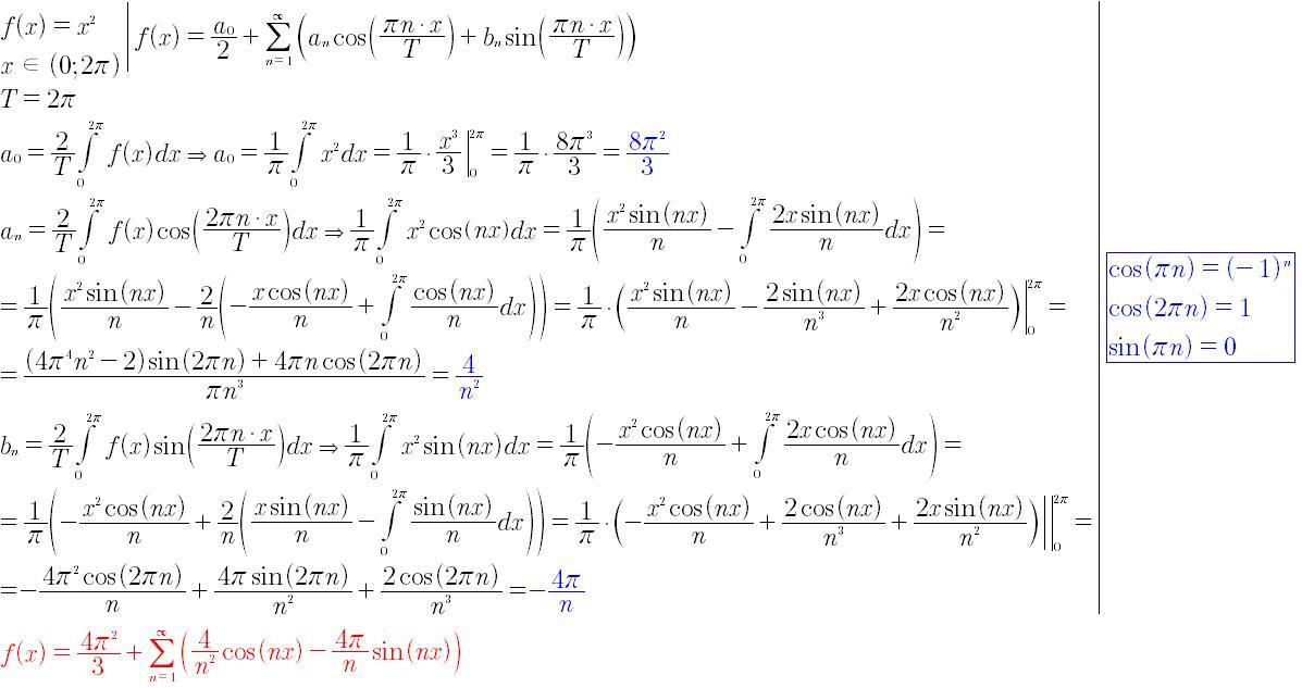
Приложения:

igundane:
Сайт https://studfile.net/preview/2179910/
Вас заинтересует
1 год назад
1 год назад
1 год назад
3 года назад
3 года назад
8 лет назад
8 лет назад