Ответы
Ответ дал:
0
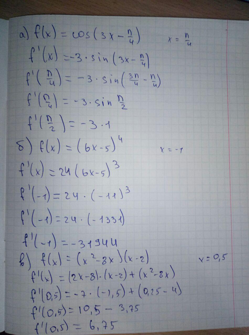
Ответ:На фото.
Объяснение:
Приложения:

merkulonich:
Спасибо,сможешь решить ещё задания у меня в профиле?
Вас заинтересует
1 год назад
1 год назад
1 год назад
3 года назад
3 года назад
8 лет назад