Ответы
Ответ дал:
1
Ответ:
Объяснение:
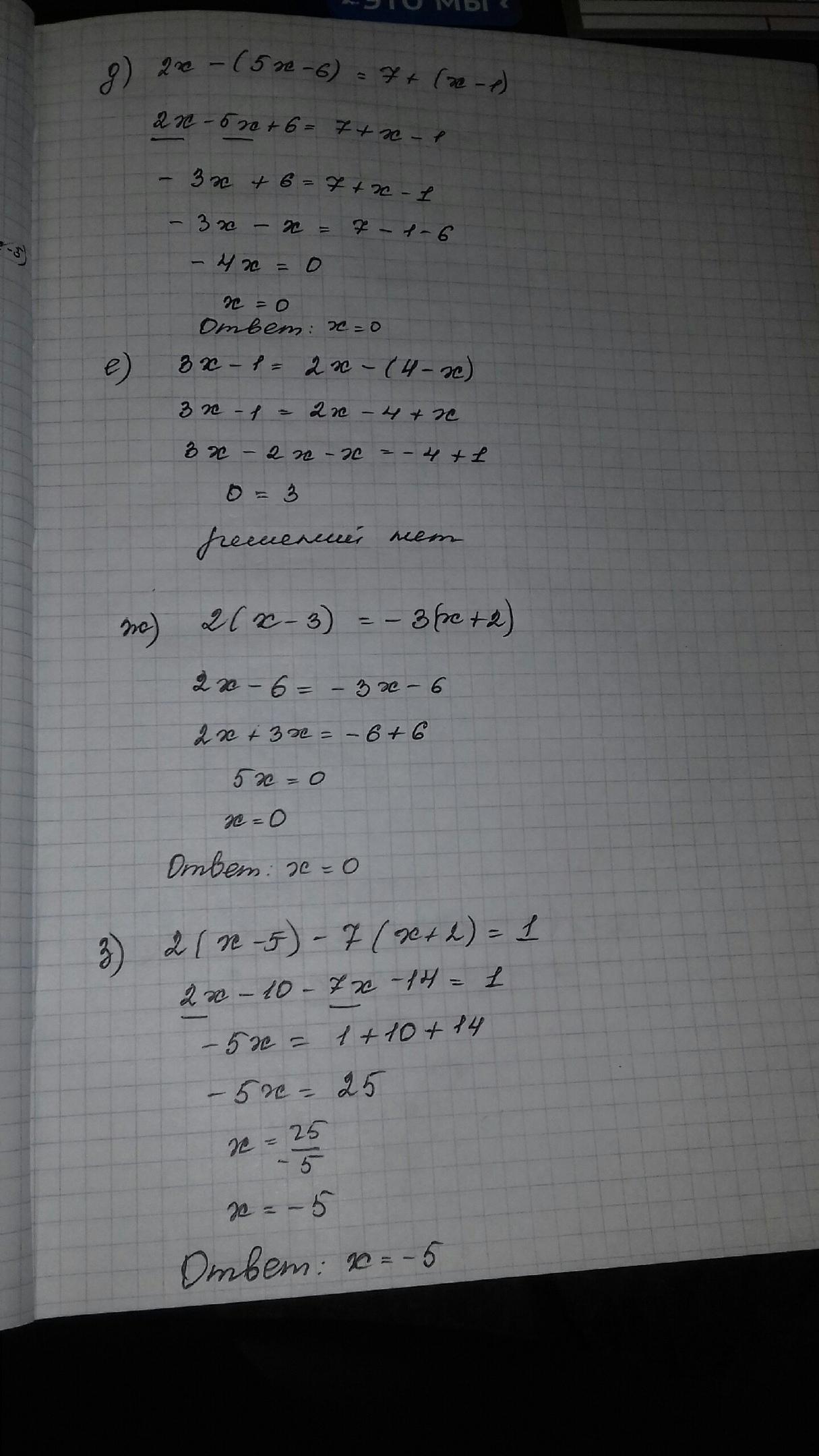
на фото....................................................
Приложения:


Ответ дал:
0
Если я правильно поняла,то это так
Приложения:

Вас заинтересует
1 год назад
1 год назад
1 год назад
3 года назад
3 года назад
8 лет назад