• Предмет: Алгебра
  • Автор: 6909li
  • Вопрос задан 2 года назад

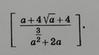
сократить дробь.

помогите пожалуйста

Приложения:

Ответы

Ответ дал: table123
0

Ответ:

Объяснение:

=(a^1/2  +2)^2/ a(a^1/2+2)=(a^1/2+2) /a,  (Va=a^1/2,   V-корень)

Вас заинтересует