• Предмет: Алгебра
  • Автор: paebalinahyi0969
  • Вопрос задан 2 года назад

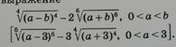
упростить выражение.

объясните подробно пожалуйста.

Приложения:

Ответы

Ответ дал: table123
0

Ответ:

Объяснение:

дополнительное пояснение   Va^2=|a|,  если a>0 , то =а,  если а <0 , то =-а, в нашем случае а<b, поэтому  в-а

Вас заинтересует