• Предмет: Алгебра
  • Автор: rwhehrhryy
  • Вопрос задан 2 года назад

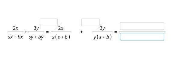
приведи дроби к наименьшему общему знаменателю и сложи​

Приложения:

Ответы

Ответ дал: allasuvorova1996
2

Ответ:

5/s+b

Решение этого примера

Вас заинтересует