• Предмет: Алгебра
  • Автор: mrcripir21
  • Вопрос задан 2 года назад

Помогите решить уравнение с параметром пожалуйста!!
-x^2-4x+4k=0 и 5x^2-2kx-1=0

Ответы

Ответ дал: Medved23
1

Объяснение:

1. -х² - 4х + 4k = 0.

Для удобства разделим обе части на -1:

х² + 4х - 4k = 0.

Уравнение - квадратное. Найдем его дискриминант.

D = b² - 4ac = 4² - 4 × 1 × (-4k) = 16 + 16k.

Рассмотрим 3 возможных случая:

1) D < 0. Если D < 0, то корней нет:

16 + 16k < 0; 16k < -16 => k < -1. При k < -1 корней уравнение не имеет.

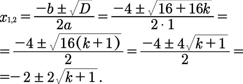
2) D = 0; 16 + 16k = 0 => k = -1. При таком значении параметра уравнение имеет единственный корень x = -b/2a = -4/(2×1)=-2.

3) D > 0. Если D > 0, (k>-1) то уравнение имеет два корня. Дальнейшее объяснение в первом вложении.

Ответ: при k < -1 корней нет; при k = -1 корень x = -2; при k > -1 корни: х1 = -2 + 2√(k+1), х2 = -2 - 2√(k + 1).

2. Полное решение во втором вложении (решения справедливы для любого значения параметра k)

Приложения:
Вас заинтересует