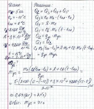
У полярних умовах прісну воду добувають з льоду. Скільки кам'яного вугілля потрібно витратити, щоб 5кг льоду, взятого при - 10°С, перетворити у воду 15°С
Ответы
Ответ дал:
10
Ответ:
ось рішення
Объяснение:
Приложения:
Вас заинтересует
2 года назад
2 года назад
2 года назад
2 года назад
3 года назад
3 года назад
9 лет назад
9 лет назад