• Предмет: Математика
  • Автор: viktoriagauha
  • Вопрос задан 2 года назад

пожалуйста помогите 4 , 5 , 6 очень срочно

Приложения:

viktoriagauha: помогите пожалуйста

Ответы

Ответ дал: SunnyStorm
1

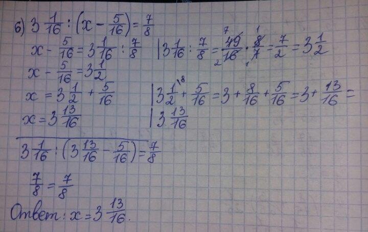
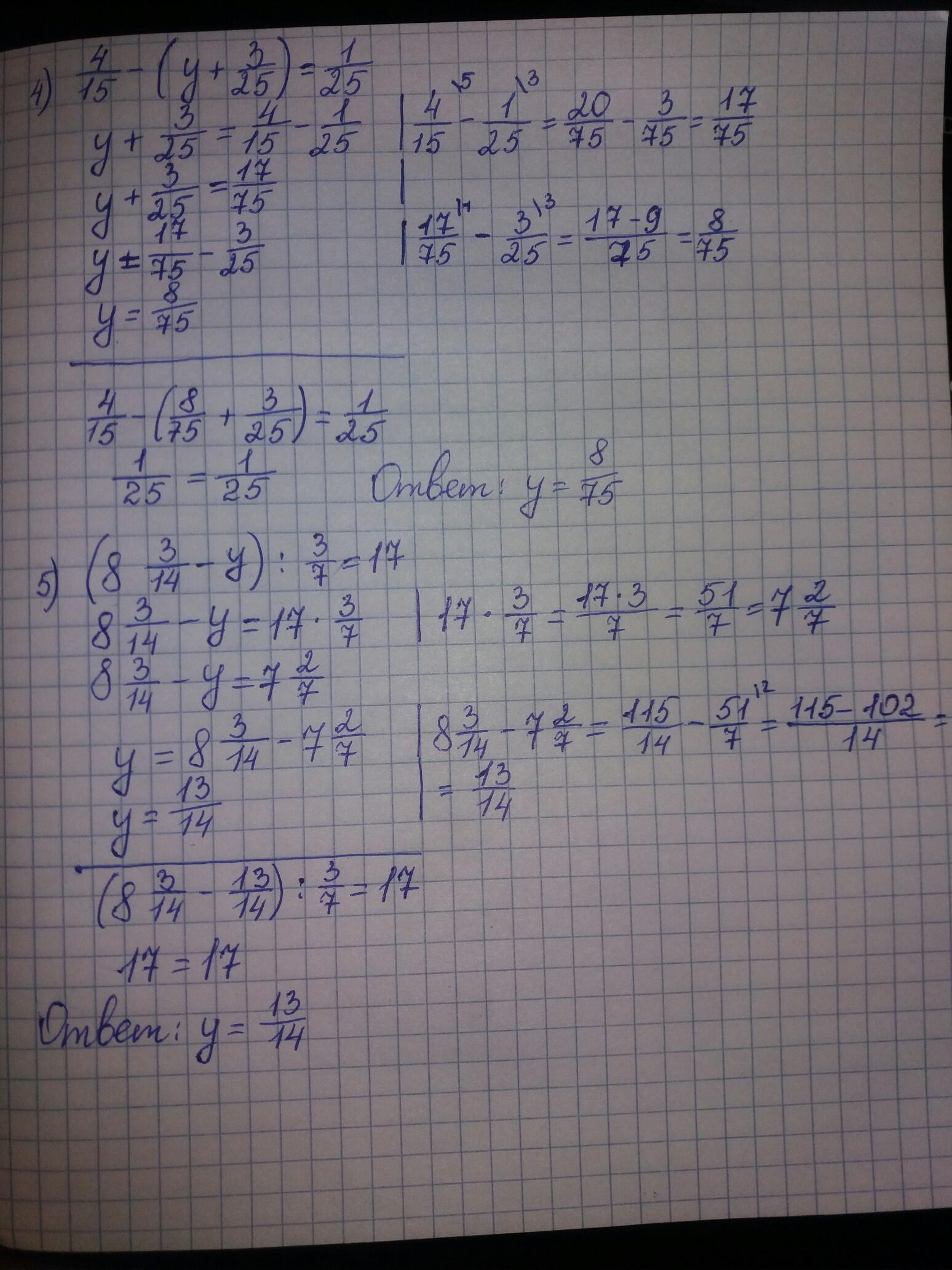
Решение на прикреплённых фотографиях. Справа от черты - дополнительное решение.

Приложения:
Вас заинтересует