Помогите решить дробно-рациональное уравнения и объясните подробно пожалуйста.
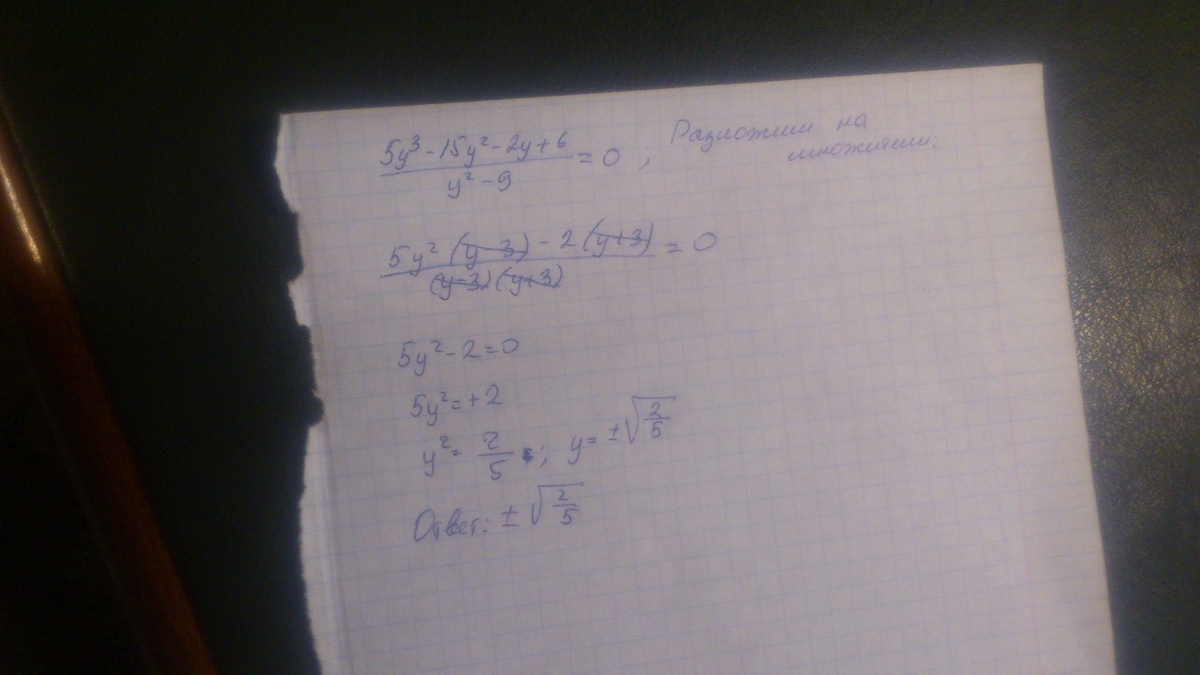
5у3 - 15у2 - 2у +6
---------------------------=0
у2 -9
Ответы
Ответ дал:
0
Решение в файле. Если что-то непонятно спрашивай, я попытаюсь тебе объяснить.
Приложения:

Вас заинтересует
2 года назад
8 лет назад
8 лет назад
10 лет назад
10 лет назад
10 лет назад