• Предмет: Математика
  • Автор: Alishkagogo
  • Вопрос задан 2 года назад

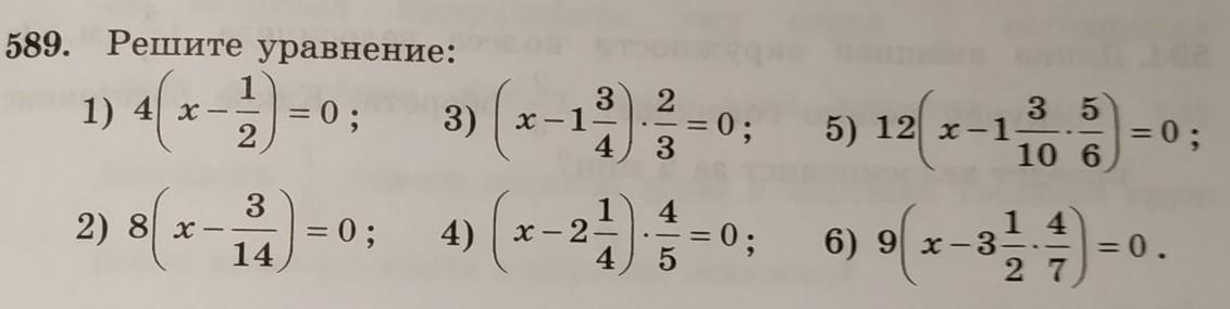
ПОМОГИТЕ ПЛИЗ даю 11 балов!​

Приложения:

Ответы

Ответ дал: leramatvienko1994
0

Відповідь:

Покрокове пояснення: везде дужка равна 0

1) х=1/2

2) х=3/14

3) х=1 3/4

4)х= 2  1/4

5) х= 1  3/10  * 5/6= 13/10 * 5/6=13/12= 1  1/12

6) х= 3  1/2 * 4/7= 7/2*4/7= 2

Вас заинтересует