• Предмет: Алгебра
  • Автор: ChloeSmith
  • Вопрос задан 2 года назад

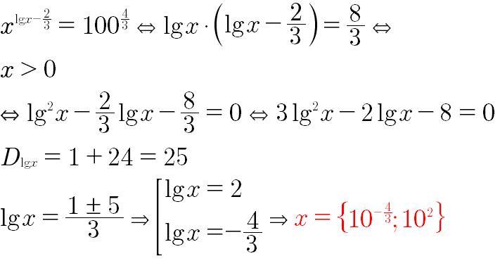
x^{lgx-\frac{2}{3} } =100^{\frac{4}{3} }
Помогите пожалуйста решить

Ответы

Ответ дал: igundane
1

//////////////////////////

Приложения:
Вас заинтересует