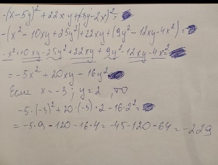
Упростите выражение -(х-5у)^2+22ху+(3у-2х)^2 и найдите его при х=-3,у=2.Кто решит дам корону и подпишусь!!
Ответы
Ответ дал:
0
Ответ:
-229
Объяснение:
Во вложении полностью решение
Приложения:

Вас заинтересует
1 год назад
1 год назад
3 года назад
3 года назад
8 лет назад