• Предмет: Алгебра
  • Автор: Anastassiya777
  • Вопрос задан 2 года назад

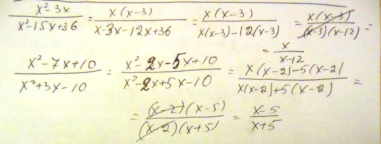
ребята, пожалуйста помогите сократить дроби​

Приложения:

Ответы

Ответ дал: miron2077
2

!!!!!!!!!!!!!!!!!!!!!!!!!!!!!!!!!!!!!!!!!!!!!!!!!!

Приложения:

Anastassiya777: можете помочь еще с 4 примерами этого же задания?
Вас заинтересует