• Предмет: Алгебра
  • Автор: MSC98
  • Вопрос задан 2 года назад

Решите производную пожалуйста

Приложения:

Ответы

Ответ дал: P1806
0

Ответ:...............................

Приложения:

MSC98: В группе м1111 учатся 27 учеников, из них 18 девочек и 9 мальчиков. Выбирают 8 уч, из них 5 девочек и 3 мальчиков.
Найдите вероятность того, что попадутся 5 девочек и 3 мальчика.

Решите через сочетание и факториал нужно сократить

Пожалуйста
P1806: задай этот вопрос отдельным постом
MSC98: Уже задал
MSC98: Помоги прошу тебя, если не отвечу на эту задачу меня отчислят
P1806: у тебя вся ночь впереди
MSC98: Поможешь?
P1806: неа
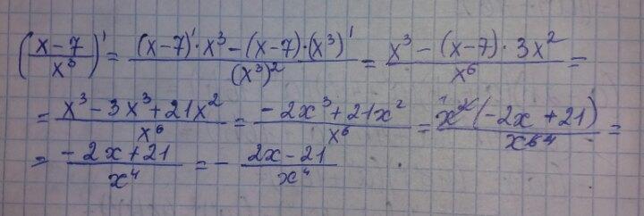
Ответ дал: SunnyStorm
1

Решение на фотографии

Приложения:

MSC98: А ты сможешь помочь по теории вероятности, у меня есть задачка
MSC98: В группе м1111 учатся 27 учеников, из них 18 девочек и 9 мальчиков. Выбирают 8 уч, из них 5 девочек и 3 мальчиков.
Найдите вероятность того, что попадутся 5 девочек и 3 мальчика.

Решите через сочетание и факториал нужно сократить

Пожалуйста
SunnyStorm: К сожалению, не смогу помочь. Давно не работала с теорией вероятности.
MSC98: (((
MSC98: Если нужна будет помощь по математике и алгебре куда я могу писать Вам?
SunnyStorm: Сообщения и записи на стенах, к сожалению, отключили... Поэтому либо в комментариях (здесь же можно ссылку на вопрос указывать), либо просто задавая вопрос
Вас заинтересует