• Предмет: Математика
  • Автор: DEADЕYE
  • Вопрос задан 2 года назад

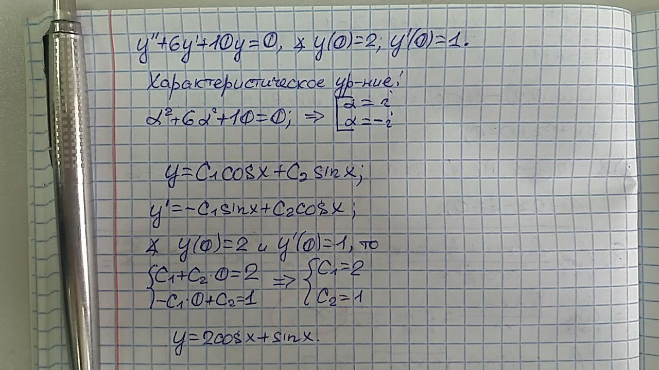
Решить дифференциальное уравнение:
y''+6y'+10y=0 при y(0)=2 ; y'(0)=1

Ответы

Ответ дал: HSS9860
3

Рассмотрите предложенный вариант; оформление не соблюдалось.

Приложения:

DEADЕYE: Спасибо
Вас заинтересует