• Предмет: Алгебра
  • Автор: nastabat86
  • Вопрос задан 2 года назад

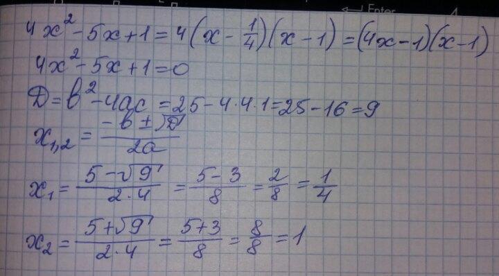
представьте квадратный трехчлен 4х2-5х+1 в виде произведения двух двучленов


vvoznuk503: 8х-5х+1. 3х+1

Ответы

Ответ дал: SunnyStorm
17

Для того, чтобы квадратный трёхчлен представить в виде произведения двух двучленов, нужно найти его корни и подставить в формулу

а(х - х1)(х - х2), где а - старший коэффициент (число, стоящее перед х²), х - переменная, х1 и х2 - корни квадратного трёхчлена, после этого занести а в удобную нам скобку.

Так как один из корней равен 1/4, 4 занесла в эту скобку. Для этого просто умножила х на 4 - получила 4х и 1/4 на 4 - сократились 4 и 4, осталась 1.

Полное решение на фото.

Удачи и лёгких решений!

Приложения:
Вас заинтересует