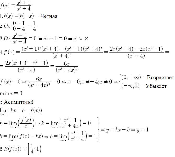
Ребят пожалуйста решите. Здоровья вам. Нужно исследовать функцию:
y=x^2+1/4+x^2
y=x+3/2-x
igundane:
Вы бы не могли указать ,где находится числитель,а где знаменатель ?
Ответы
Ответ дал:
1
//////////////////////////////////////////////////
Приложения:


Вас заинтересует
1 год назад
1 год назад
1 год назад
3 года назад
3 года назад
8 лет назад
8 лет назад