• Предмет: Математика
  • Автор: afoninaarina2017
  • Вопрос задан 2 года назад

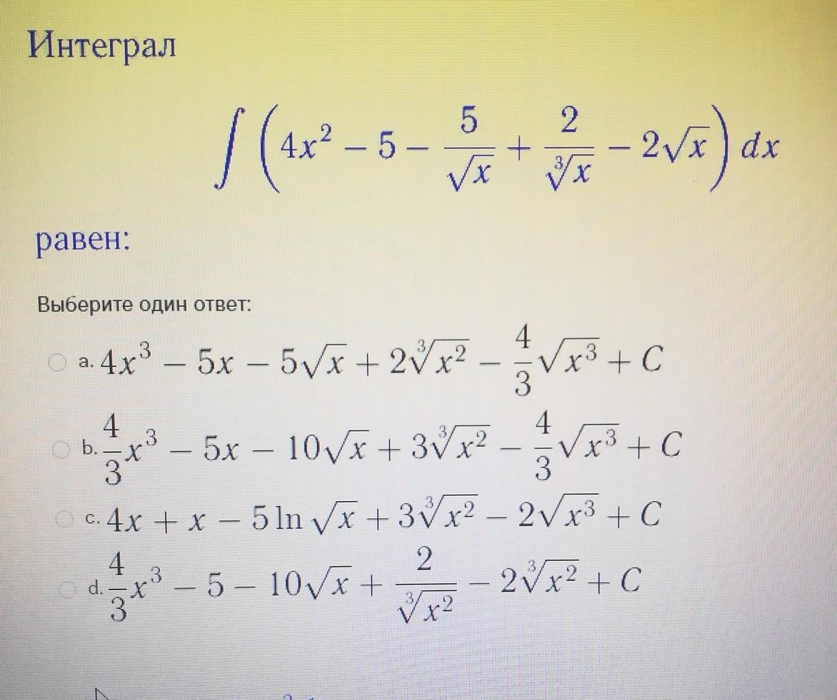
Интеграл, 1 пример. Тест​

Приложения:

Ответы

Ответ дал: natalyabryukhova
0

Ответ:

Пошаговое объяснение:

\int( {4x^2-5-\frac{5}{\sqrt{x}}+\frac{2}{\sqrt[3]{x}}-2\sqrt{x}})\,dx=4*\frac{x^3}{3}-5x-5*\frac{x^\frac{1}{2}}{\frac{1}{2}}+2*\frac{x^\frac{2}{3}}{\frac{2}{3}}-2*\frac{x^\frac{3}{2}}{\frac{3}{2}}=\frac{4}{3}x^3-5x-10\sqrt{x} +3\sqrt[3]{x^2}-\frac{4}{3}\sqrt{x^3}+C

Вас заинтересует