Ответы
Ответ дал:
1
Ответ:
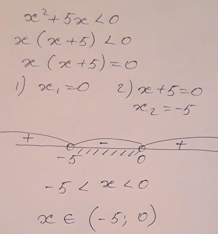
Решение неравенств.
Ответ во вложении.
Приложения:

Вас заинтересует
1 год назад
1 год назад
3 года назад
3 года назад
8 лет назад
8 лет назад