• Предмет: Алгебра
  • Автор: supermegaclever
  • Вопрос задан 2 года назад

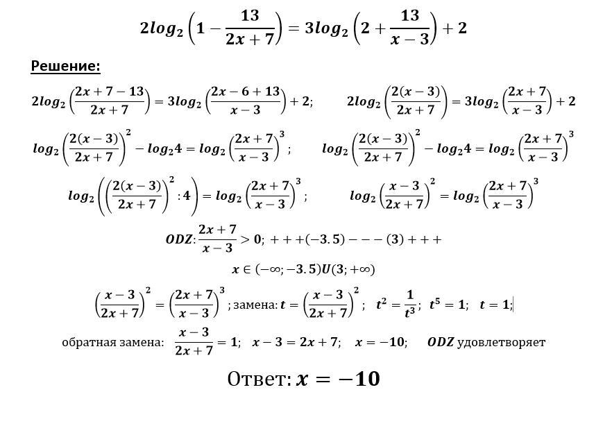
25 баллов. Логарфмическое уравнение​

Приложения:

Ответы

Ответ дал: Аноним
1

Ответ:

x=-10

Объяснение:

---------------------------------------------

Приложения:
Вас заинтересует