Ответы
Ответ дал:
0
Ответ:
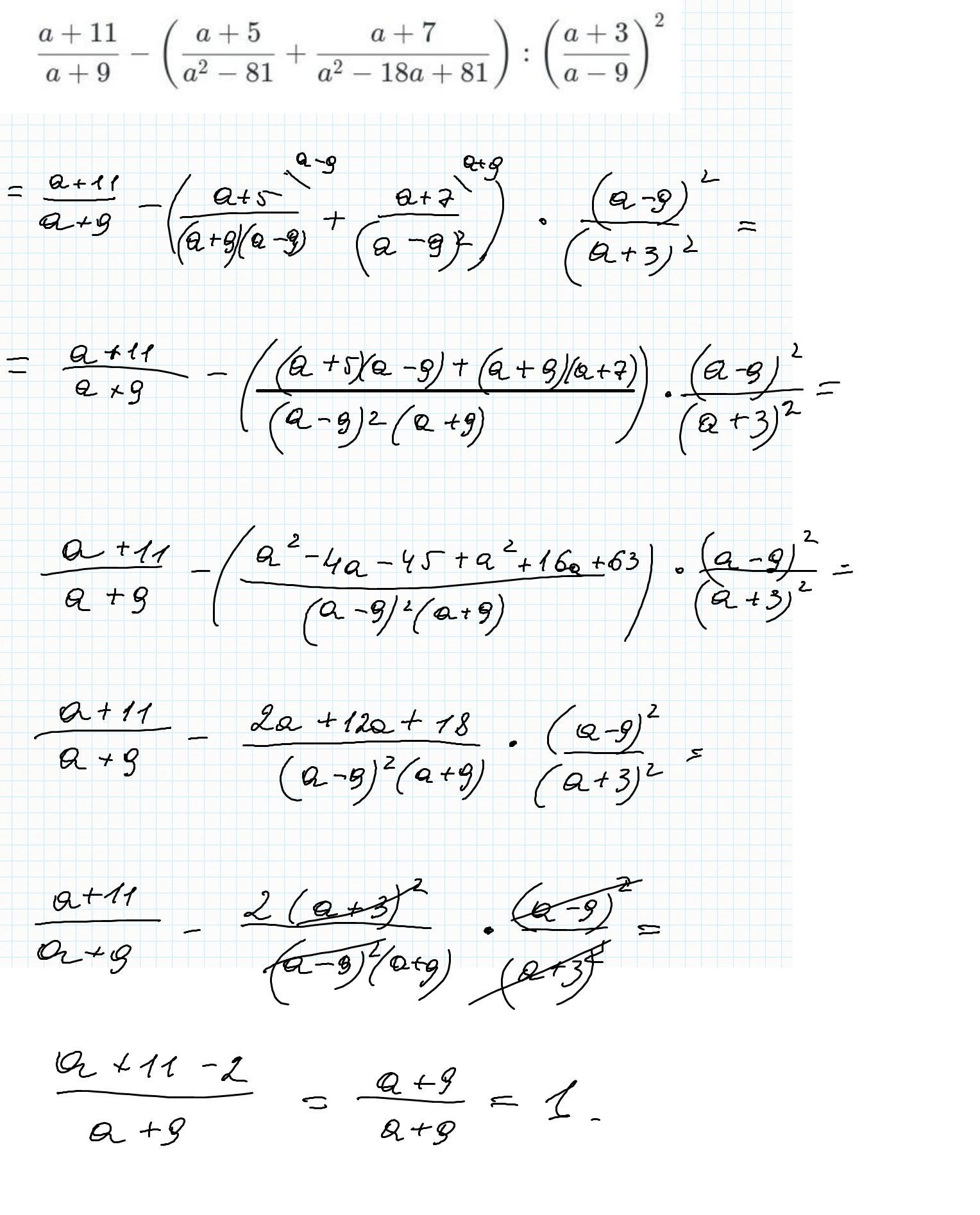
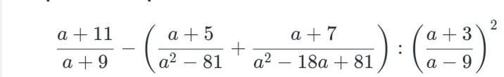
Объяснение: Привести к общему знаменателю выражение в скобках и сложить. Сократить при умножении и выполнить вычитание
Приложения:

Вас заинтересует
1 год назад
1 год назад
1 год назад
8 лет назад
8 лет назад