• Предмет: Алгебра
  • Автор: katts92
  • Вопрос задан 2 года назад

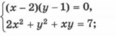
Помогите решить систему

Приложения:

Ответы

Ответ дал: s0807
1

Ответ:

Объяснение:

решаем первое уравнение

х-2=0  или у-1=0

х=2     или   у=1

подставляем корни во второе уравнение

1. х=2

2*4+у^2+2y=7

у^2+2y+1=0

(y+1)^2=0

y=-1

2. y=1

2x^2+1+x=7

2x^2+x-6=0

D=1+12*4=49

x1=(-1+7)/4=6/4=1.5

x2=-8/4=-2

Ответ (2;-1) ;(1,5;1);(-2;1)

Вас заинтересует